内容提要:跑步几乎是所有体育运动的基础,跑步是快速将身体朝向特定目标移动,通过双下肢交替运动反复推动身体向前。本文将简述跑步下肢动作技术分析和肌肉工作原理。
关键词:跑步、转动惯量、动作分析
1
跑步损伤评估对康复师是一个巨大的挑战,评估跑步损伤患者时,康复师须理解跑步与走路不同的解剖学与生物力学差异、关节动力链的近端和远端如何相互影响。此外,跑步会导致足底与地面的反作用力增加,这会影响下肢力学排列,从而使身体关节、肌肉、结缔组织过度使用或反复损伤。

二十世纪七十年代一项关于跑步损伤的流行病学研究报告称,30%损伤发生在膝关节,13%患者有胫骨疼痛,7%患者患有足底筋膜炎。另一项针对171名跑者调查报告中发现,50%损伤发生在足部,29%发生在膝关节。
进一步研究发现,损伤多涉及骨盆、臀部、大腿,多为过度使用导致,研究发现肌肉拉伤和肌腱病是髋部疼痛最常见的原因。
髋部疼痛通常由突然加速或减速动作、方向改变,多为离心收缩引起。腘绳肌拉伤是跑步中最常见的损伤之一,具体原因包括肌肉力量缺乏和柔韧度不足。髂胫束综合症被认为是髋关节或膝关节外侧剧痛、灼烧痛的常见病因,而股骨大转子滑囊、坐骨滑囊或髂耻滑囊多会发生滑囊炎。
评估跑步过度使用损伤的解剖学和生物力学因素,首先需要了解跑步周期相关的动作模式。
跑步中要做到运动经济性和避免受伤,上身应尽量保持挺直,双手要放松并有节奏的摆动,脚部着地时应用脚前掌先落地或整个脚掌落地,不要用后脚跟先落地。步履要尽量放松,以减轻身体的晃动。



上身正直或微前倾,头部保持正中位,眼睛平视,面部和颈部肌肉自然放松。
当摆动腿通过身体垂线向前摆动时,支撑腿先伸展髋关节,再迅速有力的伸展膝关节和踝关节。脚掌里的小肌群也要积极发力,最后用脚趾蹬离地面。摆动腿前摆过程中,小腿保持放松并自然下垂。后蹬结束时,支撑腿几乎伸直,摆动腿的小腿与支撑腿几乎平行,跑步的距离越长,大腿抬起高度会越低。
支撑腿蹬离地面后,小腿迅速向大腿靠拢,完成大腿与小腿边折叠边向前摆动。同时,摆动腿以髋关节为轴,积极下压,膝关节放松,小腿自然向下伸展,准备着地。
着地位置约在身体重心垂直点向前一脚或半脚距离,脚着地后,支撑腿迅速弯曲进行缓冲,并为过渡到后蹬创造条件。这时以大腿与小腿折叠的姿势迅速向前摆动。
手臂轻握双拳,拇指放在食指上,肘关节自然弯曲,以肩为轴前后自然摆动。当摆臂到与躯干垂直部位时,肘关节屈曲角度减少一些,使肌肉得到短时间的放松。
采用前脚掌先着地再过渡到全脚掌着地的跑姿,仍然需要轻脚落地,以缓冲腾空落地一刻的冲击力。有跑者认为脚着地时必须用力蹬地才可以得到更大的地面反作用力来推动身体前进,其实真正的用力蹬地应在脚落地缓冲完成之后才开始,落地一刻就用力蹬离地面会增大地面反作用冲击力。
因此,跑步时应轻脚着地,等完成了前脚掌过渡到全脚掌着地后,落地缓冲以及肌肉储存弹性势能完成后,再真正用力蹬地,要尽快完成蹬离地面的动作,减少脚部着地的时间。
整个腿部动作除了支撑身体用力蹬离地面之外,其余动作都应该是顺势而为,否则会浪费体力与能量,降低跑步的效能。
对于新手跑者来说,跑步时不应该去想脚用什么方法着地,反而应该以轻脚着地同时尽快起脚离地为主要任务。但这并非要像蜻蜓点水一般,整个着地动作未完成便急于开始下一步。
蹬离地面的力量越大,腿就会蹬的越直,步幅也会越大,速度也会越快,自然就会偏向以前脚掌先着地。如果蹬离地面的力量不足,步幅以及速度会下降,自然会偏向全脚掌着地。
当进入了练习或测试的最后阶段,蹬离地面开始乏力后,身体为了维持既有的步幅,往往在着地前就会把腿伸的较直,着地位置也较重心靠前,造成以脚跟着地的情况。如果发现有此现象,需要提示自己重新把注意力放在轻脚着地、尽快抬脚上面,切记勉强用力蹬地或跨出更大的距离以维持原来的步幅,这样做往往会降低整体的速度。
2
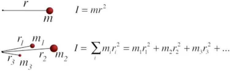
转动惯量,其实就是指物体发生旋转运动所产生的阻力。转动惯量的大小,即是阻力的大小,是取决于物体的质量及质量围绕旋转轴分布的情况。转动惯量越大,物体对于改变旋转运动所产生的阻力就越大,转动的速度就越低。
例如,当跳水运动员在空中做抱膝动作时,身体各部分离开旋转轴的距离较短,转动惯量较小,所以转速较高。当展开身体时,部分身体离开旋转轴距离变远,转动惯量变大,所以转速会降低。

转动惯量的公式为I=mr^2,m和r分别指物体内每个微粒的质量以及它们各自与旋转轴的距离。转动惯量就是所有微粒的质量乘以它们各自离开旋转轴距离平方的总和。物体整体质量越大,转动惯量就越大。

例如,拥有粗壮的手臂或大腿,转动惯量较大,摆动起来阻力也会较大。所以很少会见到个头高大粗壮的长跑运动员,大部分精英长跑运动员都是身材精瘦,不会有过度发达肥大的肌肉。
另一方面,物体内所有质量分布越靠近旋转轴心,转动惯量越小,旋转速度越快。如果细心观察,不难发现长跑运动员的小腿肌肉都相对集中于腿较高部位。这都有利于摆腿时减少转动惯量,加快摆腿速度。这种肌肉的分布是先天的,是基因表现的结果,后天的训练可以使小腿的肌肉变的更加修长和结实,但并不能把小腿肌肉推的更高。
千万不要小看质量与旋转轴距离对速度的影响。当距离增加至原来的2倍,例如小腿向后折叠时脚距离臀部较远,这时腿部摆动的转动惯量就会变成原来的4倍,大大增加了腿向前摆动的阻力,也就减慢了腿向前摆动的速度。

相反,当质量与旋转轴的距离缩短为原来一半,例如当小腿向后折叠时,如果腿能够贴近臀部,转动惯量会变为原来的四分之一,大大减少了转动惯量,也能够增加腿部向前摆动的速度。
小腿向后折叠动作应是顺势而为,如果太刻意把腿向后踢来完成折叠动作,用此方法将脚贴近臀部,会浪费过多体力与能量,降低了跑步经济性。
当支撑腿的脚离开地面后,腾空阶段正式开始。所谓腾空,就是指脚离开地面后,被送向前并准备着地的一段时间。支撑腿蹬离地面后,小腿迅速向大腿靠拢,形成大腿与小腿边折叠边前摆的动作。跑速越高,小腿会折叠的越靠近大腿,而脚跟也会越贴近臀部。
根据牛顿第三定律,作用力与反作用力定律,腿部唯一真正能够把身体送向前的动作就是支撑腿蹬离地面的动作。任何额外的动作,如刻意把小腿向后贴近臀部或抬高大腿,都无助于推动身体向前移动,浪费了体能。
跑步下肢动作技术分析,动作中肌肉如何工作,对于指导体能训练至关重要。
跑步周期分为:前腾空期、中腾空期、后腾空期、前支撑期(脚着地)、后支撑期(脚掌离地)。

前腾空期包括离心性屈髋和离心性伸膝。
离心性屈髋是屈髋肌做离心收缩,目的是降低大腿向后旋转速度,从表象上看是下肢在做减速的伸髋。
离心性伸膝是伸膝肌做离心收缩,目的是降低小腿向后旋转速度,表象上看膝关节在做减速的屈膝。
中腾空期包括向心性屈髋和离心性伸膝。
当髋关节向后减速过程结束,从这个靶点之后开始加速运动,向心性屈髋是加快大腿向前运动的速度,屈髋肌向心收缩,而膝关节继续做离心性伸膝。
后腾空期包括向心性伸髋和离心性屈膝。
向心性伸髋是伸髋肌做向心收缩,目的是转动大腿靠近旋转轴,准备脚着地动作。离心性屈膝目的是降低膝关节向前伸的速度,屈膝肌做离心收缩,以完成减速的伸膝动作。
整个腾空期间,屈髋肌、伸髋肌向心收缩时间大于离心收缩,屈膝肌、伸膝肌离心收缩时间大于向心收缩。
前支撑期包括持续向心性伸髋、短暂向心性屈膝和离心性伸髋。
向心性屈膝是屈膝肌做向心收缩,目的是缓冲着地冲击力,储存肌肉结缔组织的弹性势能。离心性伸髋是着地中髋部的适应性动作,伸髋肌做离心收缩,缓冲髋部着地时的反作用力。同时,足踝做离心性跖屈,跖屈肌做离心收缩,缓冲脚部着地。
后支撑期包括离心性屈髋、向心性伸膝、向心性跖屈。
向心性伸膝和向心性跖屈为脚蹬离地面的发力模式,伸膝肌和跖屈肌向心收缩,完成脚部离地,推动身体向前移动。
总结,腾空期开始后,髂腰肌、缝匠肌、股直肌做离心收缩,大腿旋转至末端后,屈髋肌改为向心收缩。后腾空期中,臀大肌、近端腘绳肌做向心收缩,而远端腘绳肌,股四头肌多做离心收缩。后支撑期为三关节,髋、膝、踝同时伸展,躯干保持直立,前倾角约为5度。
理解动作技术解剖学分析,才可以客观准确的指导体能康复训练。透过现象看本质、去粗取精、去伪存真、由此及彼、由表及里才能避免以偏概全、形而上学的局部看问题。
欢迎大家多在文章下方留言,批评、指正、指示。百花齐放,百家争鸣,言者无罪,闻者足戒,知无不言,言无不尽,有则改之,无则加勉。
上课地址:东莞市莞城区汇峰中心E区二楼平台220
联系电话:13538570654 邓老师

客服/售后微信